Структура сайта: виды, разделы, требования для SEO-продвижения
Удобный для пользователей сайт привлекает аудиторию. Но чтобы ресурс выходил в топ поисковой выдачи, важно соблюдать некоторые требования. В этой статье разберем виды структуры сайта и ее значение для SEO. Наталья Кондрашкина, Guru SEO-Team Leader маркетингового агентства Demis Group, также рассказала о необходимых разделах и важных нюансах, которые позволят сайту отображаться пользователям на поиске.
Виды структуры сайта
Правильно расположенная информация на сайте играет роль как для бизнеса, так и для потребителя. Интернет-магазин не теряет прибыль, потому что клиент может быстро найти нужный товар и оформить заказ. Покупатель не теряет время и нервные клетки, потому что все просто и понятно. Приоритетность пользовательского опыта стоит во главе угла.
Различают 4 вида структур, каждая из которых подходит для определенного сайта.
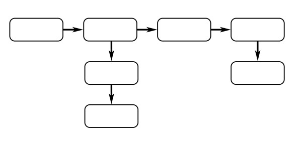
Для одностраничных лендингов и сайтов-визиток выбирают линейную структуру, где есть несколько блоков без разветвлений. Как правило, это стандартный набор: главная страница → информация о компании → каталог услуг → контактные данные.

Линейная структура сайта
Для несложных сайтов по типу визиток, но с товарами или услугами в небольшом количестве, выбирают линейно-разветвленную структуру. В таком формате в разделе могут быть подразделы. Например, в каталоге услуг клининговой компании могут быть группы: комплексная уборка, мойка окон, глажка белья и пр.

Линейно-разветвленная структура сайта
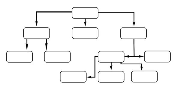
Интернет-магазин или компания с большим ассортиментом услуг уже будут построены по древовидной или иерархической структуре. Так пользователь может найти нужный продукт и получить детальную информацию о нем. А также узнать об условиях покупки, доставки, возврата, гарантийных условиях и пр.

Древовидная структура сайта
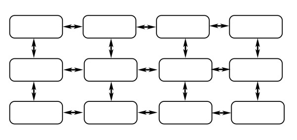
Если задача компании предоставить пользователю большой каталог, где с каждой страницы осуществляется переход на любую другую, или нужно построить сложный лендинг, то используют решетчатую или блочную структуру.

Решетчатая структура
Обратите внимание! Для SEO-продвижения оптимальной структурой является древовидная. У нее есть несколько преимуществ:
- это привычный формат сайта для пользователей;
- структуру несложно создать;
- практически нет ограничений в разрезе CMS (системы управления контентом).
Так выглядит древовидная структура, которую мы разработали для мебельного интернет-магазина Divano.

Требования поисковых систем к структуре сайта
Соблюдение основных правил повышает индексацию ресурса, то есть сайт будет показываться большему числу пользователей.
Чтобы попадать в топ выдачи Яндекса и Google, проверьте ресурс по этому чек-листу:
- Структура сайта построена логично и удобна в использовании. При первых же сложностях пользователю проще закрыть страницу и совершить покупку на другом сайте. А для бизнеса это не просто потеря клиента, но и снижение показателей ранжирования.
- У сайта нет проблем с индексацией. Для этого не стоит делать более 3 уровней вложенных страниц.
- Каждая страница обладает уникальным URL (ссылкой), который отражает ее содержание.

Пример URL
- На сайте нет дублей страниц. В противном случае снижается видимость сайта на поиске.
- Служебные страницы (регистрация, авторизация, поиск) не индексируются. Чтобы они не мешали страницам, их скрывают в файле robots.txt.
Это основные требования. Познакомиться со всем списком можно в справке Яндекса и руководстве Google.
Для успешного SEO-продвижения важно учитывать все нюансы. Даже небольшая оптимизация структуры может качественно повысить трафик из поисковых систем и конвертацию визитов в продажи.
Какие разделы должны быть в структуре сайта
И при создании новой структуры и при оптимизации уже имеющейся стоит отталкиваться от следующих задач:
Разделы будут зависеть от ниши бизнеса. Для интернет-магазина обязательными, помимо каталога, являются условия оплаты, доставки и возврата. В качестве дополнительной для притока трафика и повышения лояльности может быть блог с полезными и интересными пользователям SEO-оптимизированными статьями.
Выводы
Для создания качественной структуры, которая будет отвечать требованиям поисковых систем, важно учитывать множество факторов. Как SEO-специалисты работают в Demis Group?
- При помощи профессиональных программ собирают, выполняют визуализацию, проверяют сайт на наличие дублей, ошибок и неточностей.
- Проводят анализ ключевых слов, ассортимента и конкурентов для правильной индексации в Яндексе и Google и повышения позиции в выдаче.
- Настраивают URL для каждой страницы и заголовки первого уровня для корректного отображения в сниппетах. А также создают микроразметку в html, чтобы пользователь мог легко вернуться на предыдущий уровень.
- Готовят техническое задание для web-разработчиков. Именно SEO-специалист отвечает за минимизацию ошибок и грамотно построенную структуру.
Соблюдая все нюансы при создании структуры, вы получите не только удобный и корректный сайт, но и SEO-оптимизированный, повышая его шансы на топ выдачи и сетевой трафик. А если вам нужна помощь экспертов, просто оставьте заявку на сайте.
Источник: www.seonews.ru
Комментарии закрыты.